
오늘은 많은 사람들이 기다리던 아파트 청약 현장, 아산 탕정 푸르지오 센터파크 분양가 및 청약 관련 정보를 공유해 드리겠습니다. 아직 평면도가 공개가 되지 않았는데요. 기존에 공급했던 탕정 푸르지오의 평면도를 참고하신다면 이해를 돕는데 도움이 되실 겁니다.
기 공급했던 리버파크에 비해 보다 더 많은 관심을 보이고 있는 이유는 한 블록 차이지만 접근성이 조금 더 높아졌다는 이유에서 일 것 같습니다.
아파트 기본 개요

아산 탕정 푸르지오 센터파크 아파트는 총 16개 동으로 설계되어 있으며, 지하 2층 지상 29층 높이로 총세대수는 1,416 가구입니다.
공급 면적은 전용 59제곱미터 256세대, 84제곱미터 915세대, 109제곱미터 240세대, 136제곱미터 5세대로 구성되어 있습니다.
주변 환경 및 위치 안내

이순신대로를 끼고 있기 때문에 교통망이 상당히 뛰어납니다. 인근 탕정역과 천안아산역이 근접해 수도권으로 연결되는 지하철 1호선과 SRT, KTX의 탑승이 매우 용이합니다. 이어, GTX 연장선까지 예정되어 있어 웬만한 수도권 도시보다 서울과 연결고리가 더욱 두터워진다고 볼 수 있습니다.
갤러리아 백화점, 탕정역 주변 상권과 지중해마을, 삼성고도 있고, 선문대학교와 중학교 예정지, 탕정중학교와 초등학교 등 교육 여건도 준수해 보여요.
그리고 탕정 디스플레이시티와 초근접 위치에 있으며 아산신도시2 지역과도 근접하고, 주변에 다양한 인프라가 서서히 그 모습을 드러나면서 더욱 살기 좋은 환경으로 구축이 되어가고 있답니다.

공공택지 내에 위치하고 있기 때문에 분양가 상한제로 가격 부담이 다소 줄 것으로 보이고요. 아산의 주요 지역인 탕정을 포함해, 배방과 모종동, 용화동의 접근성이 뛰어나고, 천안의 신불당을 포함해 주변에 다양한 상권의 이용도 수월하기 때문에 너무도 좋은 입지적 장점을 보유하고 있답니다.
청약 일정 및 자격 조건 안내

위에 보시면 재당첨 제한 기간은 10년 , 전매 제한 1년, 분양가 상한제 적용에 의무거주 기간은 없습니다.
그래서 더욱 주목을 받고 있는데요.
특별공급은12월30일과 31일 이틀간 진행되며, 1순위는 이듬해인 1월 2일 목요일, 2순위는 1월 3일 금요일에 진행됩니다.
청약 예치금을 보시면 아산은 전용면적 85제곱미터 이하 200만 원 이상, 102제곱미터 이하 300만 원, 135제곱미터 400만 원 이하, 그리고 500만 원 이상이시면 전타입의 청약이 가능합니다.
특별공급을 이틀에 걸쳐 하는 이유는 우리가 알고 있는 특공대상자와 함께 이전 기관 종사자의 특별공급이 진행되기 때문입니다.

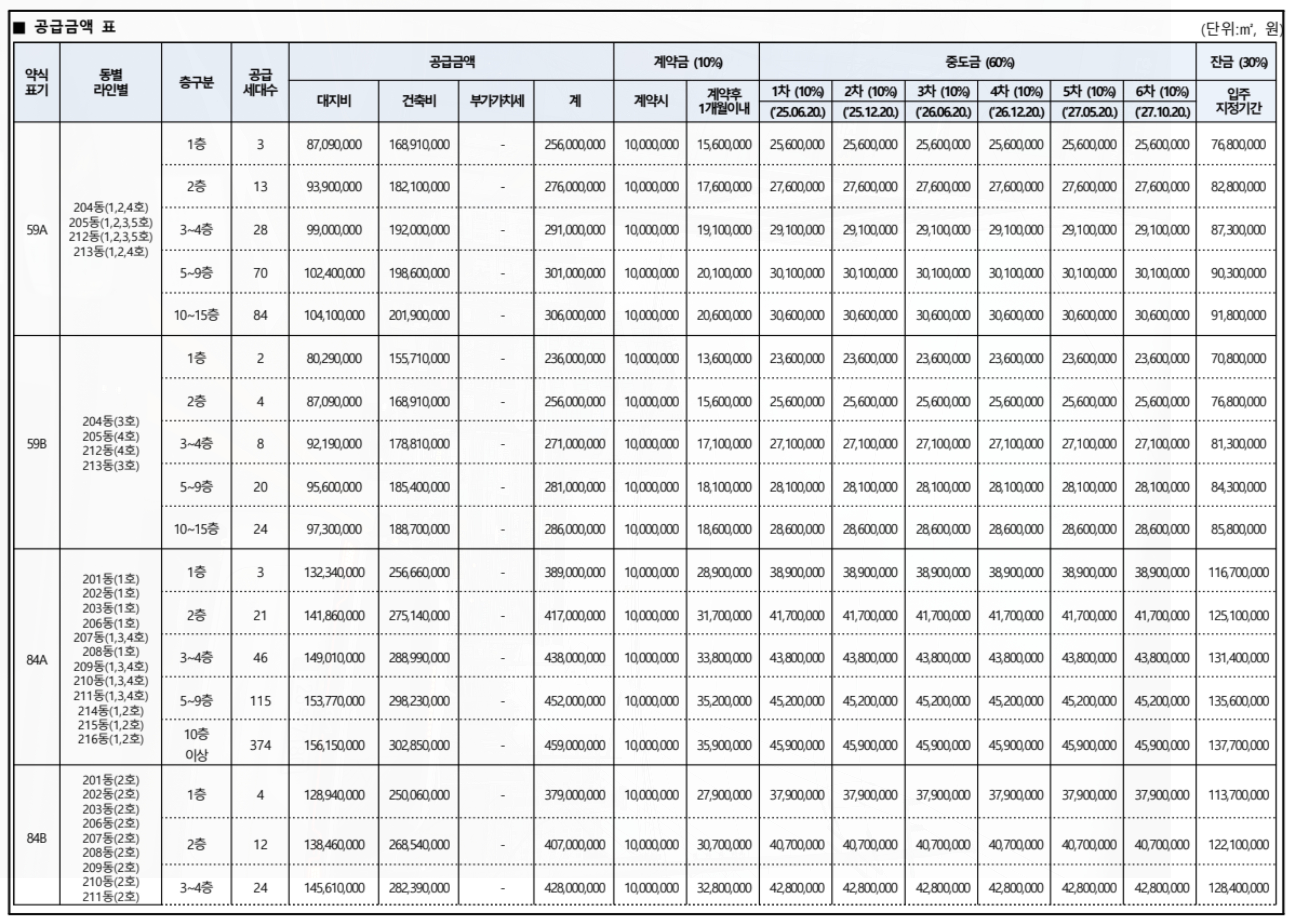
아산 탕정 푸르지오 센터파크 분양가

확실히 분양가 상한제라서 그런지 같은 탕정에 공급하는 모 아파트와 가격적인 괴리감이 상당히 느껴집니다.
10층 이상 4억 5900만원인 84A타입을 보면 약 1억 원 전후의 가격차이로 이곳이 가격 경쟁력에서 앞서기 때문에 어떤 결과를 가져올지 매우 궁금하네요.

발코니 확장비 역시 상식적인 수준이기 때문에 개인적으로 이곳에 조금 더 긍정적인 부분이 있는 것으로 대기자들은 생각을 하고 있는 것 같습니다.
최근 미분양이 속출하는 가운데서도 탕정불패의 신화를 이어갈 지 궁금하네요.

어린이 용돈카드 토스 아이쿠카 등 정보 공유
| 용인 수원 줄눈 시공 잘하는업체 찾는다면 (0) | 2024.12.28 |
|---|---|
| 이편한세상 서대전역 센트로 대전 미분양 아파트 문화동 픽 (5) | 2024.12.24 |
| 서울 오피스텔 분양 구로 구일 투웨니퍼스트 정보 (26) | 2024.11.19 |
| 제주 오등봉공원 위파크 오라이동 아파트 분양 소식 (5) | 2024.11.06 |
| 고색 금호리첸시아 수원 오피스텔 분양 소식 (17) | 2024.11.02 |